Phòng Khảo thí và Đảm bảo chất lượng giáo dục
Department of Testing and Education Quality Assurance
VIE
VIE
ENG
Giới thiệu
Giới thiệu chung
Chức năng - Nhiệm vụ
Cơ cấu tổ chức
Tin tức - Sự kiện
Tin tức khảo thí
Tin hoạt động
Thông báo
Tin tức đảm bảo chất lượng
Xếp hạng Cơ sở giáo dục
Xếp hạng đối sánh UPM
Xếp hạng THE
Kiểm định chất lượng giáo dục
Kiểm định chất lượng Trường
Kiểm định chất lượng CTĐT theo tiêu chuẩn MOET
Kiểm định chất lượng CTĐT theo tiêu chuẩn AUN-QA
Tin hoạt động
Thông báo
Quản lý phôi VBCC
Văn bản quản lý
Các mẫu đơn
Giới thiệu
Giới thiệu chung
Chức năng - Nhiệm vụ
Cơ cấu tổ chức
Tin tức - Sự kiện
Tin tức khảo thí
Tin hoạt động
Thông báo
Tin tức đảm bảo chất lượng
Xếp hạng Cơ sở giáo dục
Xếp hạng đối sánh UPM
Xếp hạng THE
Kiểm định chất lượng giáo dục
Kiểm định chất lượng Trường
Kiểm định chất lượng CTĐT theo tiêu chuẩn MOET
Kiểm định chất lượng CTĐT theo tiêu chuẩn AUN-QA
Tin hoạt động
Thông báo
Quản lý phôi VBCC
Văn bản quản lý
Các mẫu đơn
Đào tạo & QLSV
Quay trở lại danh sách
Đào tạo & QLSV
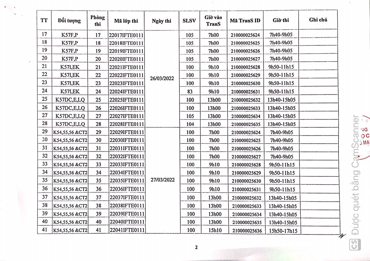
LỊCH THI TRỰC TUYẾN ĐÁNH GIÁ CHUẨN KỸ NĂNG SỬ DỤNG CNTT ĐỢT 1 THÁNG 03 NĂM 2022
Chia sẻ:
15/03/2022
Thông báo lịch thi trực tuyến đánh giá chuẩn kĩ năng sử dụng CNTT đợt 1 tháng 3 năm 2022.
Bài viết liên quan
Đào tạo & QLSV
Đề cương các học phần trong Chương trình đào tạo trình độ đại học ngành Thương mại điện tử
05/08/2022
Thông báo
NHỮNG ĐIỀU CẦN BIẾT VỀ KHOA HỆ THỐNG THÔNG TIN KINH TẾ VÀ THƯƠNG MẠI ĐIỆN TỬ
05/05/2024
Thông báo
CHỈ TIÊU TUYỂN SINH KHOA HỆ THỐNG THÔNG TIN KINH TẾ VÀ THƯƠNG MẠI ĐIỆN TỬ NĂM 2024
31/05/2024